如特安防
您只需一个电话我们竭诚为您服务
- 全国统一服务热线
- 18668913066
相关资讯
咨询热线:
18668913066
固话:0531-58615066
邮箱:2881529222@qq.com
地址:山东省济南市历下区华阳路高校商务港1号楼
如特安防手机版网站二维码
当前位置:
基于可调谐激光吸收光谱(DA-ATLAS),用于增强气体浓度传感器敏感性的裁剪算法
摘要:
基于直接吸收可调谐激光吸收光谱法(DA-ATLAS),提出用于增强气体浓度传感器敏感性的裁剪算法。采用这种算法,传感器敏感性可被定制成为大的动态浓度范围的准常数,而基于传感信号输出单一统计特征(振幅峰值,曲线下面积,平均值或均方根)的经典方法做不到。 此外,已证明我们的算法,一种优化函数可被裁剪,从而在浓度和基于一些宽动态浓度范围的具体统计特征之间得到准线性关联。为了测试我们算法,使用一个基于DA-ATLAS技术的乙炔传感器,它的实验测量结果支持由我们算法提供的模拟结果。
关键词: 气体传感器,光学传感器,光电和光量子传感器, 光学信号处理
1.介绍
基于可调谐激光吸收光谱 (TLAS)的气体传感器,因高的敏感性和选择性,已被广泛使用。而且,目前有宽波段激光选择技术也被用在这种气体传感器。通常, TLAS以两种不同的模式被应用:线锁可调谐激光吸收光谱(LL-TLAS),分析可调谐激光吸收光谱(ATLAS) [1]。LL-TLAS模式, 激光线发射是理想地与吸收线的中心波长匹配,因此检测器察觉到的总激光强度受气体浓度变化的影响[1,2,3]。ATLAS模式,激光线发射经光谱区被扫描,在光谱区分子吸收[4,5,6,7,8,9]。 再者,有两种不同的技术来完成这种扫描:直接吸收(DA-ATLAS)和波长调制(WM-ATLAS)[4]。使用DA-ATLAS,激光波长经由光谱区被调谐,光谱区产生气体吸收线;所以,基于比尔-朗伯定律,过渡线形状和综合吸光度可以直接确定出[5]。这里, 激光波长被以某一频率的锯齿形或三角波形驱动。至于WM-ATLAS,激光波长也被锯齿形或三角波形驱动,但是也被另外的快信号波形调制[4,5]。通常,基于WM-ATLAS技术的传感器,有最小检测吸光率,大约10-6。跟基于DA-ATLAS的传感器相比,这是相当超级了。后者最小检测吸光率大约10-3[10]。例如,由参考[6]所提到的专家基于WM-ATLAS设计的传感器,能同时检测甲烷和硫化氢(分别达到最小检测限:甲烷1.1 ppm, 硫化氢15 ppm)。参考[7]所提到的专家基于DA-ATLAS的设计的典型传感器,能检测甲烷的最低浓度是0.2%。WM-ATLAS传感器一个短处是最高检测浓度在于一个狭窄浓度范围(<1%),而DA-ATLAS传感器通常有较大的动态浓度量程[10]。而且,作为ATLAS传感器,激光线发射是调谐的,所以这将在时域产生一个输出信号。从这种信号输出来看,不同的光谱参数可根据传感器配置来设定。例如,有这样一些算法,测量出的传感器信号带有佛克脱线型(Voigt)[5,8,11],洛伦兹(Lorentzian)[9],佛克脱-洛伦兹(Voigt-Lorentzian)或 佛克脱-高斯(Voigt-Gaussian)函数,就是为了确定一个或更多光谱参数,如线强度、线位置、一个或多条吸收线的低态能量。然而,对于一些应用,它仅仅必须来判定环境温度中和大气压下的气体浓度。例如,煤矿危险检测应用,甲烷传感器动态量程:0–100% [12,13],还有,对这个应用,还要求检测一氧化碳、氧气、乙炔和二氧化碳[12]。这里,对气体浓度传感器,简单的算法能应用来根据输出的信号来判定浓度。例如,在浓度和一个传感器产生信号的统计特征之间,确立了一个关联。一些普通使用的统计特征是峰值振幅 [14]、曲线下面积(the area under the curve) [10]和均方根(RMS) [7]。这种关联易于计算,所以,气体浓度可以直接判定。然而,基于这些算法的传感器通通有一个局限的动态量程,大多因为那些统计特征(振幅峰值、面积和均方根)将线性地随浓度增长而增长,直到浓度达到某一水平。然后,统计特征将慢慢随浓度增长,受气室饱和度的影响。在这一范围,浓度和统计特征之间的关系将是非线性的。结果,关于局限的动态量程,对气体浓度的敏感性,有一个准常数倾向。之后,将随浓度快速下降。不同的优化设计在保持高的敏感性时,已被建议拓宽动态量程。例如,由[10]所提到专家开发的传感器实现了一个动态量程:0.005–50%甲烷, 且这种特例下,浓度依靠曲线下面积和浓度之间的关系来判定。因此,有几种以DA-ATLAS技术为基础的气体传感器,设计者已改进最小检测吸收,针对某一动态量程提高了敏感性。一些增强措施以改进光学排列为基础,优化光学组件特性和电子级,来恢复和处理信号。
2.DA-ATLAS气体传感器的基本原理
DA-ATLAS传感原理是基于光被吸收的量,当光穿过气体样品时。因此,必须按每一个波长吸收量来测量。所以,激光被调谐后,通过一定光谱范围,分解吸收线。通过气室传递的光强度能由比尔-朗伯定律来描述,如下 :

I0(λ) 是在进入气室前的激光强度,C是气体浓度,l是气室路径长度,α(λ) 是单色吸收系数。后者通过使用HITRAN光谱数据库的参数来计算 [21]。而且,气体样品的光吸收比例,可由下面来表达出:

a(C, l, λ)类似的吸收曲线,针对不同浓度,并考虑扫描激光1532.61–1533.04nm,乙炔产生反激振动线,显示在图1a。这里能观察到振幅峰值ap = max(a(C, l, λ))随浓度快速增长。然而,ap多快达到最大值,将不仅依赖样品浓度,而且也依赖气室路径长度。例如,图1b 显示,不同浓度和气室长度吸收的振幅峰值。这里,气室长度越长,信号振幅峰值将越快达到。而且,接近峰值,对于其余浓度范围几近平坦。结果,如果浓度依据振幅峰值来判定,那可能靠选择气室长度来优化传感器(这是为了在宽浓度区有低的准常数敏感性,或,为了对一个窄范围低浓度有一个相当大的敏感性);因为在某一浓度之后,敏感性将趋于0(图1c)。这种情况下,敏感性这样计算:dap/dC。 因此,有不同的选项来分析和处理这些吸收曲线(这由传感器输出),来高精度判定浓度,特别地在敏感性近于0的区域。这里,我们推荐新的算法,关于较宽的动态量程,助于保存高敏感性,也提供一个准常量敏感性行为。另外,关于宽的测量范围,让我们有一个准常量敏感性。

两光信道的基本DA-ATLAS气体传感器
不同传感器配置,来执行基于DA-ATLAS模式的传感功能。其中一个配置,非常时兴的,是基于双通道[3,4,5,7,22]。配置中,在偏振光束进入气室之前,两通道通过等分线偏振光束来实现。测量通道中,光束通过气室, 出来后,被一个光学检测器记录。在参照通道中,光束不通过测量气室,因而,它直接到达另一个检测器。图2,双通道传感设置的通用框图。这种配置的一个好处是,为了计算传送信息、可视性或调幅深度(DM),信号测量和参照通道,能减去、除去或数学组合。DM是有趣的量度,因为它不光源波动影响[23,24],能用以下来描述:

这里 PR(λ(t)) 和 PM(C, l, λ(t))是电力,由参照和测量检测器分别注册,激光波长在位置λ(t)。这里,激光波长,将被定期扫描,所以用时间来体现(t)。而且,DM 无单位,g 是一个比例常数,考虑为损失或不平衡的分束比,理想情况下g =1。一个切实可行的办法,当目标气体浓度是0%时, g 可被算作参照和测量检测器提供信号的比率。而且,等式(3) 显示使用两通道设置的好处,因为任何源强度涨落将影响同样量级双通道,所以,在计算DM时,它们的影响将最小化。

本文由山东如特安防设备有限公司LK编译,转载必须注明来自 sdrtkm.com
3.剪裁算法,增强传感器对气体浓度的敏感性
DA-ATLAS技术,激光在一个方向被调谐,来扫描发生目标分子吸收线的光谱区,然后,激光归到最初位置(图3a)。光谱扫描可使用锯齿或三角波形来驱动。作为一个例子,且为了解释我们算法,让我们设想一个乙炔传感器要设计出来,锁定一个10cm气室长路径、1532.8302 nm吸收 线。而且,让我们考虑激光调谐在1532.61–1533.04 nm波段,并被三角波形驱动(图3a)。这里,调谐周期的持续时间(T0)将取决于激光调谐频率。因此,激光随时扫描,所以输出的DM在时域将有一个特别波形,像图3b所示。这个图,考虑不同浓度的乙炔,能欣赏到信号峰值振幅怎么随气体浓度来增长。进一步,DM 信号正常化到255,考虑到图像处理的标准灰色调标度。从本图中,也能看到传感器信号输出的不同统计特征,如,峰值到振幅峰值,意思是说,均方根和直流电平被浓度影响。所以,如果气体浓度被判定仅仅基于信号的振幅峰值,更多有价值信息被浪费掉。因而,可能要创建新的算法来提取传感器输出波形统计特征的附加信息,为了增强一些传感器特性,如敏感性和气体浓度动态量程。

本算法基于传感器信号输出波形的分析。这里,为简化和正常化,我们将考虑,形成激光调谐周期的样品数量(n)。这种方法,N将是组成每一个调谐周期(T0)的样品总数目,它也代表完成一个激光调谐周期(图3)扫描步骤数目。我们倡导的算法的普通流量图呈现在图4。这个步骤将执行,设计出一款特别的气体传感器。





图5,A, σ, h 和 m1-m5 特征来自DM 波形,作为一个乙炔浓度的一个函数。 图5a,可以看到参数A是随低浓度(0–20%)增长,增长最快的一个。然而,对于高浓度(20–100%), A相当平,意思是它对浓度变化不敏感。而且,对于高浓度,最敏感的统计特征是熵(h)。进一步,面积和σ也对气体浓度的敏感性较低。最后,在图5b-e, k-th在原点之上,对高浓度相当敏感;然而,缺点是对于低浓度,它们的响应近于0。例如,图5e,能看到一个低于20%的乙炔浓度,m5是特别地为0;从20%到100%, m5有向上的倾斜度。所以,可以总结出一些统计特征(A 和 h)对低浓度相当敏感,别的对高浓度敏感(如,mk)。

3.1母函数
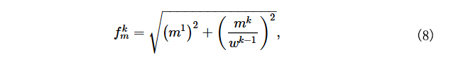
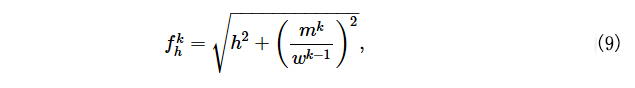
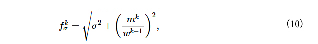
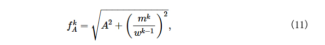
为了利用每一统计特征对不同浓度区间较敏感这个事实,分析由不同方法来组合的k-th (k>1) , A, σ, h 和 m1 。这种方式,创建几个新函数。这些新函数,我们选一套,称为母函数,表达如下:




上面w是一个重量常数,来衡量高阶矩级数。我们实例中,w看作测量量程中m1的最小值,相当于乙炔浓度的100%(w = m1 (100%))。图6,可以看到所有母函数的斜率变大。而且,也能欣赏到这此函数将有界限清楚的拐点,当k阶矩开始左右母函数行为。

因这里已明确k的值,现需要选择一个值来应用到母函数(表达式(8)–(11))。我们例子中,我们决定为已经建立的、对浓度有准线性响应的母函数寻找k值。而且,笼统地说,敏感性可被计算为关于气体浓度的母函数的导数(dfk/dC)。因为我们正寻找对浓度响应的准线性函数(图7),所以敏感性在测量范围内必有准常量行为。重要地,指出k值对每一母函数不将是必要的。例如,我们设计例子,我们发现,对fkm, fkh, fkσ; 和 fkA等函数,最佳的k值分别有一个范围:2.0–3.0, 3.5–4.5, 2.5–3.5 和 3.5–4.5。图7和图8中,母函数(fk) 对这些k 取值范围,步长0.2,相应的敏感性分别显示出来。从图8,用这些k值,看到4个函数的敏感性被改进,因为现在比0大的多,对高浓度有一个准恒定曲线。这说明,通过使用这些算法,可能增强对高浓度的敏感性。这是不可能的,如果仅依振幅峰值,平均数,有效值或标准偏差等判定浓度。我们发现k值范围,对于这个范围,母函数有一个线性行为,仅仅这些k值中的一个必须为每一个函数选出。对我们的例子,我们判定k值2.2, 4.2, 2.9 和 4.1分别用于函数fkm, fkh, fkσ; 和 fkA。在图9a-d,能欣赏到每一最佳的母函数有一个非常线性行为,相比那些用A, m1, σ 或 h 计算得到的 (图5a)。而且,这些函数提出一些归于不同函数组合拐点,这些函数能进行一个多项式精确匹配。
本文由山东如特安防设备有限公司LK编译,转载必须注明来自 sdrtkm.com
3.2 选择最佳的母函数
因这里已明确k的值,现需要选择一个值来应用到母函数(方程式(8)–(11))。我们例子中,我们决定为已经建立的、对浓度有准线性响应的母函数寻找k值。而且,笼统地说,敏感性可被计算为关于气体浓度母函数的导数(dfk/dC)。因为我们正寻找对浓度反应的准线性函数(图7),所以敏感性在测量范围内必有准常量行为。重要地,指出k值对每一母函数不将是必要的。例如,我们设计例子,我们发现,对fkm, fkh, fkσ; 和 fkA等函数,最佳的k值分别有一个范围:2.0–3.0, 3.5–4.5, 2.5–3.5 和 3.5–4.5。图7和图8中,母函数(fk) 对这些k 取值范围,步长0.2,相应的敏感性分别显示出来。从图8,用这些k值,看到4个函数的敏感性被改进,因为现在有比0大的多,对高浓度有一个准恒定剖面。这说明,通过使用这些算法,可能增强对高浓度的敏感性;当浓度被判定仅依振幅峰值,平均数,有效值或标准偏差时,这是不可能的。我们发现k值范围,对于这个范围,母函数有一个线性行为,仅仅这些k值中的一个k值必须为每一个函数选出。对我们的例子,我们判定k值2.2, 4.2, 2.9 和 4.1分别用于函数fkm, fkh, fkσ; 和 fkA。在图9a-d,能欣赏到每一最佳的母函数有一个非常的线性行为,相比那些用A, m1, σ; 或 h 计算得到的 (图5a)。而且,这些函数提出一些归于不同函数组合拐点,这些函数能进行一个多项式精确匹配。



这种方式,通过使用表达式Crf =∑rn=0 pn(fk)n , 气体浓度能被计算,这里pn 是多项式系数,r是多项式的次数(图9a-d)。一个特别的传感器设计,算法应仅一次来判定母函数和它的最佳k值。然后,仅需要基于传感器输出波形计算母函数,从计算结果通过多项式系数来判定气体浓度。另外,每一个最佳母函数的敏感性,列在图9e。这里,能观察到:跟利用传感器信号输出(Dm)的振幅峰值A得到的相比,所有母函数对高浓度有增强的敏感性。而且,从敏感性结果来看,能看到,fkh和fkA有较大的敏感性对所有测量范围(0–100%);然而,对低浓度来说,fkh比fkA敏感性低,fkA对低浓度有高的敏感性,类似于使用A 时得到的结果,但因k值(k-moment)贡献,它对全测量量程保持它的高敏感性。这点,展示测量范围和基于DA-ATLAS技术的典型气体浓度传感器的敏感性,能通过这种裁剪算法被增强。
本文由山东如特安防设备有限公司LK编译,转载必须注明来自 sdrtkm.com
4. 原理论证:基于DA-ATLAS技术的气体传感器
为了测试裁剪算法,特别地动态量程扩张和敏感性增强,使用一个基础乙炔气体传感器。它基于环形光纤可调谐激光器(图10)。这里, 一个辫状二极管激光器发射λ = 980 nm,发送最大输出功率 300 mW,被耦合到一个波分复用(WDM, Qphotonics QFBGLD-980-200),泵入3.4m长的掺饵光纤 (EDF, 优铂特 F-EDF-T3)。然后,EDF产生的冷光,经由循环器(Thorlabs 6015-3),从端口1(port1)到端口2(port2)(端口2,放有一个硅片)。为了分开硅片的反射干涉光谱,使其进入两个输出通道,循环器的端口3粘接50/50单模(Thorlabs 10202 A-50)。50%的输出,发射到可变光衰减器(VOA),VOA用来改变激光光谱增益,避免激光在1550-nm区域发射。最后,为了关闭环形腔,VOA被粘接到WDM-1550-nm端口。另外的,50%的硅片反射干涉光谱输出,被50/50光纤耦合器分离,来构成传感器的测量和参考通道。这里,通过使用光谱分析器(OSA, Yokogawa AQ6370C),激光信号以0.02nm的分辨率被监测。这种安排,利用热电致冷器(TEC)改变硅片温度来实现:一条没有模式跳跃 4-nm激光调谐范围。这里,为了有重复调谐循环,通过带有比例-积分-微分(PID)控制器的热电致冷器(TEC)驱动,激光线波长随着时间调谐,PID是用LabVIEW开发的软件 (PC DAQ)来实现的。在这种激光装置中,一大块厚度85μm的硅片被使用,作为光谱选择过滤器[25]。因此,硅片起到法布里-珀罗谐振干涉仪(FPI)的作用,所以,硅片的反射模式能通过硅片的折射率变化来改变。这利用了硅片的热光特性[25],来实现的。终于,这允许我们来调谐激光发射波长来扫描目标分子的一条反激振动吸收线。我们的实例中,调谐激光发射经由乙炔的反激振动吸收线,大气压下1532.8302 nm[21]。试验工作中, VOA保持固定。这里,参考通道光束用PR光学检测器来监测,而测量通道由PM检测器来监测。这些信号用一个数据采集系统(DAQ)来恢复,且由一台个人电脑(PC)来处理。这阶段也计算DM信号,它是我们传感器主要输出信号。

4.1 激光调谐和传感器模拟输出的特征描述
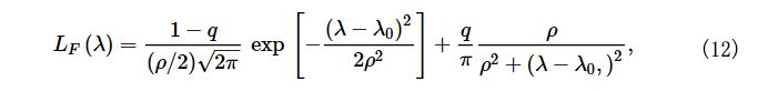
为了能模拟新生传感器的输出波形,首先描述激光线发射曲线和它的随时调谐行为。测量的激光线曲线 (LM)显示在图11a。用光谱分析仪(Yokowaga AQ6370C)以20pm的分辨率来记录。激光发射有一个大约15pm的半高全宽(FWHM),完美配合高斯洛伦兹和(GLS)函数(图11a),定义如下[26]:


4.2 模拟母函数,创建实验性传感器
一旦DM 信号模拟出,我们计算母函数,并查找最佳k值,最佳k值提供最大恒定灵敏度。首先,计算统计特征mk,h,σ 和A (图12)。然后,依方程(8)–(11),为一些k值,计算母函数,对这些k值这些函数提供宽动态量程最大恒定灵敏度。图13中,利用一些特殊k值的函数例子。且,敏感性可以通过图14所示的函数来得到。最后,我们继续选择一个k值,来应用到这个实验的每一个母函数,2.6, 4.6,2.6 和4.8 分别用于函数 fkm ,fkh,fkσ和 fkA(图15)。而且,它们的敏感性显示在图14e中。从这个图中,可以看到fkh和fkA对高浓度乙炔有特高的敏感性,fkA对低浓度乙炔有特高的敏感性。所以,认为f4.8A是应用到气体传感器设计的最好选择,因为在全浓度范围中它有较高的浓度。最后,这些最优母函数用上多项式C5f=∑5n=0 pn(fk)n,来判定浓度,和pn 常数,见表1。





本文由山东如特安防设备有限公司LK编译,转载必须注明来自 sdrtkm.com
4.3 实验测量
现在,为了支持我们的模拟结果,我们利用不同的乙炔浓度进行一些测量。每一浓度有相应的DM 波形,见图16a(参见表1)。然后,对每一个DM信号,计算最佳母函数f2.6m,f4.6h,f2.9σ 和 f4.8A 。
本文由山东如特安防设备有限公司LK编译,转载必须注明来自 sdrtkm.com
4.4 实验敏感性
算法的要点之一是针对大动态量程增强敏感性。基于单一统计特征(振幅峰值和平均值)和根据一些母函数(f4.8A和 f2.6m ),得到的敏感性都显示在图17中。本例,实验测量E的大概敏感性值,通过使用相关的 Δf/Δ(Cs) = [f(Cs) − f(Cs−1)]/(Cs − Cs−1)来计算。从图17中,可注意到裁剪函数对一个较宽动态量程,提供一个最好的敏感度。例如,f4.8A的敏感性,跟A在0–17%浓度范围的敏感性相似,但是出了这一浓度范围,由母函数得到的敏感性相当大。类似的敏感性行为也可从后面这两个函数观察到:函数f2.6m和m1 函数。因此,可以计算出:对于大的动态量程,母函数保有高的敏感性,优于同个单一统计特征(振幅峰值、平均值、面积或均方根)得到的敏感性。而且,我们的裁剪函数fkA 是最好的选项,因为它对低浓度有高的敏感性,且对所有测量范围保持准常量。

5. 结论:
裁剪算法提高基于DA-TLAS技术传感器的敏感性。这里,论证这个算法,对于较大动态量程可以有准常数敏感性,这是与基于传感器输出波形的单一统计特征(如振幅峰值、面积、平均值或均方根)判定的浓度相比而言的。可能会考虑传感器输出波形别的统计特征,这些特征通常浪费了。而且,已证实通过组合统计特征,不同函数可以创建,来裁剪一个优化的函数,以增强对某浓度范围的敏感性。最后,算法被测试来建立实验传感器,得到的测量结果与我们模拟的一致。
本文由山东如特安防设备有限公司LK编译,转载必须注明来自 sdrtkm.com
本文由山东如特安防设备有限公司LK编译,转载必须注明来自 sdrtkm.com
致谢
ncbi.nlm.nih.gov
This work was partially supported by Universidad de Guanajuato and partially by CONACYT.
参考
1. Fetzer G.J., Pittner A.S., Ryder W.L., Brown D.A. Tunable diode laser absorption spectroscopy in coiled hollow optical waveguides. Appl. Opt. 2002;41:3613–3621. doi: 10.1364/AO.41.003613.[PubMed]
2. Krzempek K., Lewicki R., Nähle L., Fischer M., Koeth J., Belahsene S., Rouillard Y., Worschech L., Tittel F.K. Continuous wave, distributed feedback diode laser based sensor for trace-gas detection of ethane. Appl. Phys. B. 2012;106:251–255. doi: 10.1007/s00340-011-4857-9.
3. Vargas-Rodriguez E., Guzman-Chavez A.D., Raja-Ibrahim R.K., Cardoso-Lozano L.E. Gas Sensor Design Based on a Line Locked Tunable Fiber Laser and the Dual Path Correlation Spectroscopy Method. Appl. Sci. 2017;7:958 doi: 10.3390/app7090958.
4. Bolshov M.A., Kuritsyn Y.A., Liger V.V., Mironenko V.R., Leonov S.B., Yarantsev D.A. Measurements of the temperature and water vapor concentration in a hot zone by tunable diode laser absorption spectrometry. Appl. Phys. B. 2010;100:397–407. doi: 10.1007/s00340-009-3882-4.
5. Sun K., Chao X., Sur R., Goldenstein C.S., Jeffries J.B., Hanson R.K. Analysis of calibration-free wavelength-scanned wavelength modulation spectroscopy for practical gas sensing using tunable diode lasers. Meas. Sci. Technol. 2013;24:125203. doi: 10.1088/0957-0233/24/12/125203.
6. Xia H., Liu W., Zhang Y., Kan R., Wang M., He Y., Cui Y., Ruan J., Geng H. An approach of open-path gas sensor based on tunable diode laser absorption spectroscopy. Chin. Opt. Lett. 2008;6:437–440. doi: 10.3788/COL20080606.0437.
7. Silveira J.P., Grasdepot F. CH4 optical sensor using a 1.31 μm DFB laser diode. Sens. Actuators B. 1995;25:603–606. doi: 10.1016/0925-4005(95)85132-1.
8. Witzel O., Klein A., Meffert C., Wagner S., Kaiser S., Schulz C., Ebert V. VCSEL-based, high-speed, in situ TDLAS for in-cylinder water vapor measurements in IC engines. Opt. Exp. 2013;21:19951–19965. doi: 10.1364/OE.21.019951.[PubMed]
9. Kasyutich V.L., Martin P.A. A CO2 sensor based upon a continuous-wave thermoelectrically-cooled quantum cascade laser. Sens. Actuators B Chem. 2011;157:635–640. doi: 10.1016/j.snb.2011.05.038.
10. Dong L., Yin W., Ma W., Zhang L., Jia S. High-sensitivity, large dynamic range, auto-calibration methane optical sensor using a short confocal Fabry–Perot cavity. Sens. Actuators B. 2007;127:350–357. doi: 10.1016/j.snb.2007.04.030.
11. Webber M.E., Baer D.S., Hanson R.K. Ammonia monitoring near 1.5 μm with diode-laser absorption sensors. Appl. Opt. 2001;40:2031–2042. doi: 10.1364/AO.40.002031.
12. Liu T., Wei Y., Song G., Hu B., Li L., Jin G., Wang J., Li Y., Song C., Shi Z., et al. Fibre optic sensors for coal mine hazard detection. Measurement. 2018;124:211–223. doi: 10.1016/j.measurement.2018.03.046.
13. Zhao Y., Wang C., Liu T., Li Y., Wei Y., Zhang T., Shang Y. Application in Coal Mine of Fiber Methane Monitoring System Based on Spectrum Absorption. Procedia Eng. 2011;26:2152–2156. doi: 10.1016/j.proeng.2011.11.2419.
14. Webber M.E., Claps R., Englich F.V., Tittel F.K., Jeffries J.B., Hanson R.K. Measurements of NH3 and CO2 with distributed-feedback diode lasers near 2.0 μm in bioreactor vent gases. Appl. Opt. 2001;40:4395–4403. doi: 10.1364/AO.40.004395.[PubMed]
15. Haralick R.M., Shanmugam K., Dinstein I. Textural Features for Image Classification. IEEE Trans. Syst. Man Cybern. 1973;SMC-3:610–621. doi: 10.1109/TSMC.1973.4309314.
16. Hayes K., Shah A., Rosenfeld A. Texture Coarseness: Further Experiments. IEEE IEEE Trans. Syst. Man Cybern. 1974;SMC-4:467–474.
17. Weszka J.S., Dyer C.R., Rosenfeld A. A Comparative Study of Texture Measures for Terrain Classification. IEEE Trans. Syst. Man Cybern. 1976;SMC-6:269–285. doi: 10.1109/TSMC.1976.5408777.
18. Tamura H., Mori S., Yamawaki T. Textural Features Corresponding to Visual Perception. IEEE Trans. Syst. Man Cybern. 1978;8:460–473. doi: 10.1109/TSMC.1978.4309999.
19. Haralick R.M. Statistical and structural approaches to texture. Proc. IEEE. 1979;67:786–804. doi: 10.1109/PROC.1979.11328.
20. Unser M. Sum and Difference Histograms for Texture Classification. IEEE Trans. Patt. Anal. Mach. Intell. 1986;PAMI-8:118–125. doi: 10.1109/TPAMI.1986.4767760.[PubMed]
21. Rothman L.S., Jacquemart D., Barbe A., Chris Benner D., Birk M., Brown L.R., Carleer M.R., Chackerian J.C., Chance K., Coudert L.H., et al. The HITRAN 2004 molecular spectroscopic database. J. Quant. Spectrosc. Radiat. Transf. 2005;96:139–204. doi: 10.1016/j.jqsrt.2004.10.008.
22. Wei W., Chang J., Huang Q., Wang Q., Liu Y., Qin Z. Water vapor concentration measurements using TDALS with wavelength modulation spectroscopy at varying pressures. Sens. Rev. 2017;37:172–179. doi: 10.1108/SR-09-2016-0188.
23. Goody R. Cross-Correlating Spectrometer. J. Opt. Soc. Am. 1968;58:900–908. doi: 10.1364/JOSA.58.000900.
24. Johnston S.F. Gas monitors employing infrared LEDs. Meas. Sci. Technol. 1992;3:191–195. doi: 10.1088/0957-0233/3/2/008.
25. Gallegos-Arellano E., Vargas-Rodriguez E., Guzman-Chavez A.D., Cano-Contreras M., Cruz J.L., Raja-Ibrahim R.K. Finely tunable laser based on a bulk silicon wafer for gas sensing applications. Laser Phys. Lett. 2016;13:065102. doi: 10.1088/1612-2011/13/6/065102.
26. Linford M.R. The Gaussian-Lorentzian Sum, Product, and Convolution (Voigt) Functions Used in Peak Fitting XPS Narrow Scans, and an Introduction to the Impulse Function. Vac. Technol. Coat. 2014;15:27–34.
本文由山东如特安防设备有限公司LK编译,转载必须注明来自 sdrtkm.com
本文由山东如特安防设备有限公司LK编译,转载必须注明来自 sdrtkm.com
访问量:
此文关键词:气体传感器,光学传感器,光电和光量子传感器,光学信号处理
